食品残渣扩繁降解菌对园林废弃物堆肥碳转化的影响

Accelerating carbon conversion in garden waste composting with food waste-expanding microbial inoculants

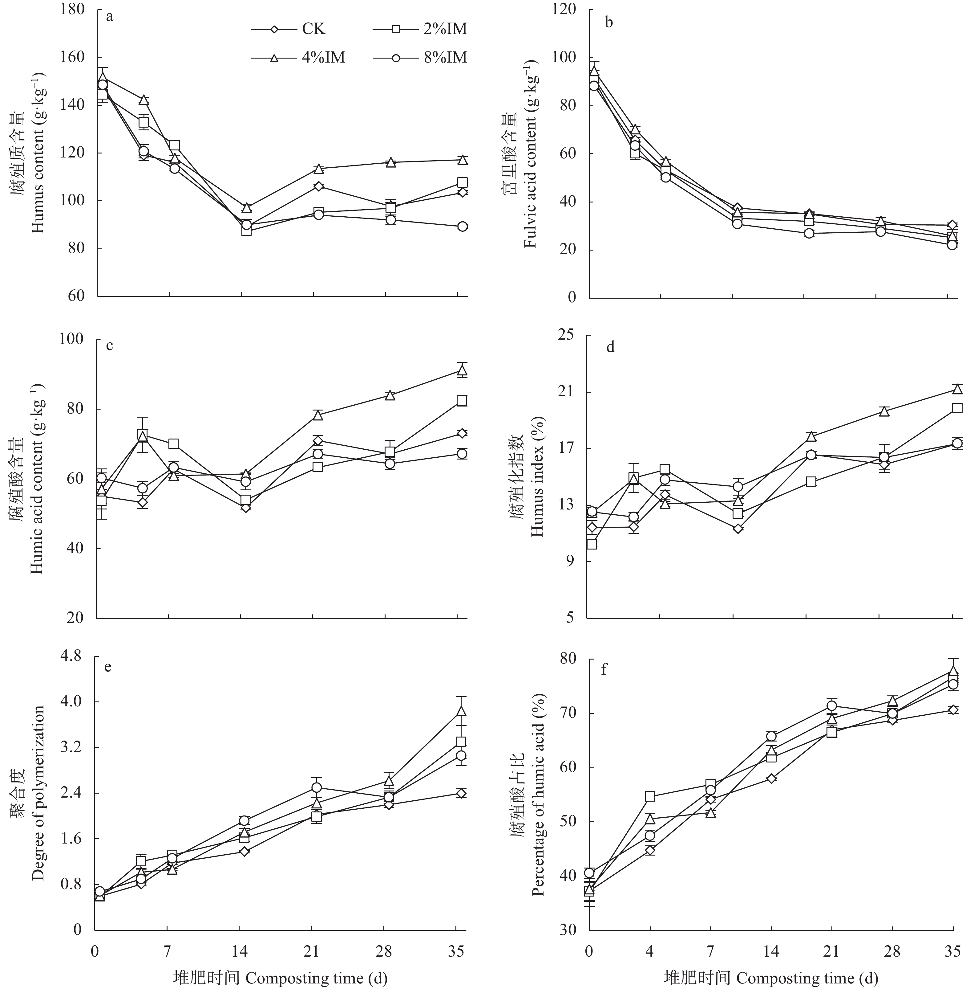
  • 摘要: 高木质纤维素含量制约了园林废弃物的堆肥化应用, 添加外源菌剂是加快木质纤维素降解的有效手段。为降低菌剂生产成本并提高接种效率, 本研究利用食品残渣(苹果渣、豆渣)代替常规碳氮源(葡萄糖、蛋白胨)进行木质纤维素降解菌的扩繁, 扩繁产品活菌数高达3.7×1010 cfu∙mL−1, 相较工业培养基增加46.2%。进一步探讨了不同降解菌接种量(0、2%、4%、8%, 干重计)对园林废弃物堆肥过程碳素转化的影响。结果表明, 接种处理显著增加了木质纤维素的降解(P<0.05), 2%、4%和8%接种处理(2%IM、4%IM、8%IM)的总木质纤维素降解率较CK分别提高6.3%、9.2%和23.0%; 其中8%IM处理加速了碳素的完全矿化, 导致腐殖质前体物(多酚、还原糖)被完全降解生成CO2, 抑制了腐殖化的进行; 而4%IM处理在加快木质纤维素降解的同时促进了腐殖酸(HA)的合成, 其最终HA含量达91.3 g∙kg−1, 较CK、2%IM和8%IM处理分别提高24.9%、10.7%和35.8%。因此, 以食品残渣为培养基质可完全实现木质纤维素降解菌的生长扩繁, 同时, 4%接种量更有利于园林废弃物堆肥腐殖化的进行和碳素的保存, 本研究为多源废弃物高效协同处理提供了理论依据。

     

    Abstract: The expansion of urbanization has resulted in the generation of a large amount of garden waste (40 million tons per year in China), while traditional treatment methods (incineration and landfill) tend to cause serious environmental pollution and waste of resources. Composting is an effective way to realize resource utilization of garden waste. However, the high lignocellulose content of garden waste limits its resource utilization. Accelerating the degradation of lignocellulose in the composting process is of great significance for achieving effective resource utilization of garden waste. Inoculation with exogenous microorganisms is considered an environmentally friendly and cost-effective method to accelerate lignocellulose degradation, which would further reduce the cost of inoculum production and improve inoculation efficiency. In this study, food residues (apple pomace and bean dregs) were used instead of conventional carbon and nitrogen sources (glucose and peptone) to propagate lignocellulose-degrading fungi. The number of viable fungi in the multiplication product reached 3.7×1010 cfu∙mL−1, which increased by 46.2% compared with the traditional industrial medium. The effects of different inoculum amounts (0, 2%, 4%, and 8%, dry weight) on carbon conversion during garden waste composting were also discussed. The inoculation treatments significantly increased lignocellulose degradation (P<0.05), according to the results. The total lignocellulose degradation rates of the 2%, 4%, and 8% inoculation treatments (2%IM, 4%IM, and 8%IM) increased by 6.3%, 9.2%, and 23.0%, respectively, compared with CK. Dynamic changes in humus precursors (reducing sugars and polyphenols) and humus components were further analyzed. The 8%IM treatment accelerated the complete mineralization of carbon, resulting in the complete degradation of the humus precursors (polyphenols and reducing sugars) into CO2, which inhibited humification. Compared with CK, 2%IM, and 4%IM, the cumulative CO2 emissions of 8%IM increased by 21.9%, 22.3%, and 26.0%, respectively. The 4%IM treatment accelerated lignocellulose degradation while promoting the synthesis of humic acid (HA). The final HA content reached 91.3 g∙kg−1, which was 24.9%, 10.7%, and 35.8% higher than that of CK, 2%IM, and 8%IM treatments, respectively. These results indicate that appropriate inoculation is beneficial to the directional transformation of lignocellulose to humic acid, whereas excessive inoculation would lead to an excessive loss of organic matter due to the high metabolic activity of microorganisms; and the degradation efficiency of lignocellulose is lower when inoculated with a small amount, which was further confirmed by the partial least squares path analysis model in this study. The conversion of lignocellulose to dissolved organic carbon increased with increasing inoculation amount (correlation coefficients of CK, 2%IM, 4%IM, and 8%IM were 0.59, 0.70, 0.75, and 0.85, respectively), while the correlation coefficient of 4%IM from DOC to HA was −0.85, which was higher than 2%IM (−0.76) and 8%IM (−0.34). Therefore, the growth and propagation of lignocellulose-degrading fungi can be completely realized by using food residues as a culture substrate. A 4% inoculation amount was more conducive to the humification of garden waste compost and the preservation of carbon. This study provides a reference for the garden waste composting inoculation process and a theoretical basis for multi-source waste-efficient collaborative treatment.

     

/

返回文章
返回